Enter 6 digits hex code or enter red, green and blue color levels (0..255) and press the Convert button:
The R,G,B values are divided by 255 to change the range from 0..255 to 0..1:
R' = R/255
G' = G/255
B' = B/255
Cmax = max(R', G', B')
Cmin = min(R', G', B')
Δ = Cmax - Cmin
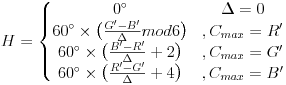
Hue calculation:

Saturation calculation:

Value calculation:
V = Cmax
| Color | Color name |
Hex | (R,G,B) | (H,S,V) |
|---|---|---|---|---|
| Black | #000000 | (0,0,0) | (0°,0%,0%) | |
| White | #FFFFFF | (255,255,255) | (0°,0%,100%) | |
| Red | #FF0000 | (255,0,0) | (0°,100%,100%) | |
| Lime | #00FF00 | (0,255,0) | (120°,100%,100%) | |
| Blue | #0000FF | (0,0,255) | (240°,100%,100%) | |
| Yellow | #FFFF00 | (255,255,0) | (60°,100%,100%) | |
| Cyan | #00FFFF | (0,255,255) | (180°,100%,100%) | |
| Magenta | #FF00FF | (255,0,255) | (300°,100%,100%) | |
| Silver | #BFBFBF | (191,191,191) | (0°,0%,75%) | |
| Gray | #808080 | (128,128,128) | (0°,0%,50%) | |
| Maroon | #800000 | (128,0,0) | (0°,100%,50%) | |
| Olive | #808000 | (128,128,0) | (60°,100%,50%) | |
| Green | #008000 | (0,128,0) | (120°,100%,50%) | |
| Purple | #800080 | (128,0,128) | (300°,100%,50%) | |
| Teal | #008080 | (0,128,128) | (180°,100%,50%) | |
| Navy | #000080 | (0,0,128) | (240°,100%,50%) |